首頁 > 常用試劑 > 生化試劑 > 酶和輔酶
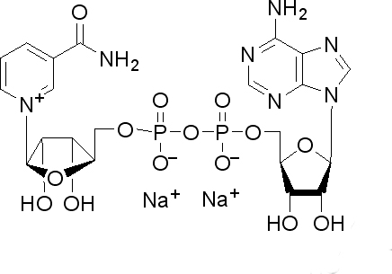
NAD
氧化型輔酶I
β-Nicotinamide adenine dinucleotide;β-DPN, β-NAD, Coenzyme 1
C21H27N7O14P2 MW 663.4 CAS:53-84-9
Storage:-20℃
Appearance………….white power
Purity………………….grade II,~98%
pH value in water…….3.0 (50 mg/ ml)
250mg 60元
500mg 100元
1g 180元

|
|